AGV在水平道路上等速行驶时必须克服来自地而的滚动阻力和来自空气的空气阻力。滚动阻力以符号Ff表示,空气阻力以符号Fw表示。当AGV在坡道上行驶时,还必须克服重力沿坡道的分力,称为坡度阻力,以符号Fi表示。AGV加速行驶需要克服的阻力称为加速阻力,以符号Fj表示。因此车辆行驶的总阻力为:
式中: μ—滚动阻力系数,即车轮在一定条件卜滚动时所需的推力与车轮负荷之比,即单位车辆重力所需的推力。滚动阻力系数由实验确定。它与路
而的种类、行驶车速以及车轮的构造、材料等有关。
考虑到AGV在工厂运行,路而一般为沥青或混凝土路面,参考有关数据可知,μ=0.018~0.020,实际取μ=0.0196,设计其总质量为m=250kg,代入公式(3.2)得滚动阻力为:

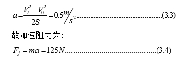
(2)加速阻力的计算
AGV在加速行驶的过程中,需要克服其质量加速运动时的惯性力,即加速阻力Fj。设AGV从原地起步经过的位移S=lm时,其车速达到Vt=1.Om/s则AGV的加速度为:

(3)坡度阻力的计算
AGV工作场的道路状况一般较好,坡度较小,设坡道角为α=30,则坡道阻力为:

AGV小车不同于道路行驶的高速车辆,AGV的最高时速一般为1.11m/s,因此空气阻力对AGV行驶的影响可忽略不计。因此根据3.1式,AGV总的运动阻力为:

随着工厂自动化、计算机集成制造系统技术的逐步发展以及柔性制造系统、自动化立体仓库的广泛应用,AGV(Automatic Guided Vehicle)即自动导引车作为联系和调节离散型物流系统以使其作业连续化的必要的自动化搬运装卸手段,其应用范围和技术水平得到了迅猛的发展。